Selasa, 16 Februari 2021

Soal Matematika Bab Perpangkatan Dan Bentuk Akar



Rangkuman Contoh Soal Pembahasan Eksponen Logaritma Rangkuman Contoh Soal Pembahasan Eksponen Logaritma

Latihan Bilangan Berpangkat Dan Bentuk Akar Matematika Latihan Bilangan Berpangkat Dan Bentuk Akar Matematika

Matematika Kelas 6 100institute Matematika Kelas 6 100institute

Bilangan Berpangkat Dan Bentuk Akar Matematika Smp Haimatematika Bilangan Berpangkat Dan Bentuk Akar Matematika Smp Haimatematika

Bentuk Pangkat Akar Logaritma Mari Bermain Dengan Matematika Bentuk Pangkat Akar Logaritma Mari Bermain Dengan Matematika

Pangkat Akar Dan Logaritma Ppt Download Pangkat Akar Dan Logaritma Ppt Download

Pangkat Dan Bentuk Akar Kelas 9 Smp Lookhit Com Pangkat Dan Bentuk Akar Kelas 9 Smp Lookhit Com

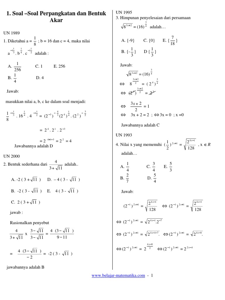
1 Soal Soal Perpangkatan Dan Bentuk Akar 1 Soal Soal Perpangkatan Dan Bentuk Akar

Buku Matematika Smp Kelas 9 K13 Revisi 2018 Shopee Indonesia Buku Matematika Smp Kelas 9 K13 Revisi 2018 Shopee Indonesia

Perpangkatan Dan Bentuk Akar Smp Kelas 9 Buku Bse Revisi 2018 Perpangkatan Dan Bentuk Akar Smp Kelas 9 Buku Bse Revisi 2018

Standar Kompetensi Operasi Hitung Dalam Aljabar A Bentuk Standar Kompetensi Operasi Hitung Dalam Aljabar A Bentuk

Soal Ulangan Perpangkatan Dan Bentuk Akar Kelas 9 Kurikulum 2013 Soal Ulangan Perpangkatan Dan Bentuk Akar Kelas 9 Kurikulum 2013



::NEXT PAGE::

Tidak ada komentar:

Posting Komentar