Rabu, 01 Juli 2020

Soal Uts Matematika Peminatan Kelas 10 Semester 2 Dan Pembahasannya



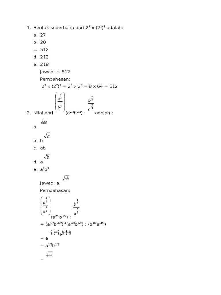
Soal Jawaban Uts Matematika Kelas X Soal Jawaban Uts Matematika Kelas X

Zaiq5hi3ybjnwm Zaiq5hi3ybjnwm

Uji Kompetensi Dan Pembahasan Matematika Semester 2 Kelas Xi Uji Kompetensi Dan Pembahasan Matematika Semester 2 Kelas Xi

100 Soal Matematika Sma Kelas X Semester 2 100 Soal Matematika Sma Kelas X Semester 2

Jual Kumpulan Soal Matematika Sd Kelas 6 Berdasarkan Ktsp Jual Kumpulan Soal Matematika Sd Kelas 6 Berdasarkan Ktsp

Yuk Pelajari 7 Soal Logaritma Dan Pembahasannya Ini Agar Kamu Yuk Pelajari 7 Soal Logaritma Dan Pembahasannya Ini Agar Kamu

Latihan Soal Uas Matematika Sma Kelas X Semester Ganjil 2018 Latihan Soal Uas Matematika Sma Kelas X Semester Ganjil 2018

Link Matematika Peminatan Link Matematika Peminatan

Download Soal Persamaan Nilai Mutlak Pdf Matematika Wajib Kelas Download Soal Persamaan Nilai Mutlak Pdf Matematika Wajib Kelas

Soal Dan Jawaban Spreadsheet Kelas 10 Semester 2 Info Guru Soal Dan Jawaban Spreadsheet Kelas 10 Semester 2 Info Guru

Jual Buku Sma Kl 1 2 3 New Edition Big Book Matematika Jual Buku Sma Kl 1 2 3 New Edition Big Book Matematika

Pembahasan Soal Pts Uts Matematika Kelas 6 Sd Semester 1 Kurikulum Pembahasan Soal Pts Uts Matematika Kelas 6 Sd Semester 1 Kurikulum



::NEXT PAGE::

Tidak ada komentar:

Posting Komentar