Kamis, 02 Juli 2020

Contoh Soal Un Matematika Sma Bentuk Akar



Blognya Pak Agung Soal Ujian Nasional Pangkat Dan Akar Smp Mts Blognya Pak Agung Soal Ujian Nasional Pangkat Dan Akar Smp Mts

Penjumlahan Dan Pengurangan Bentuk Akar Penjumlahan Dan Pengurangan Bentuk Akar

Matematika Smp Cara Menyederhanakan Bentuk Akar Dan Merasionalkan Matematika Smp Cara Menyederhanakan Bentuk Akar Dan Merasionalkan

Soal Un Matematika Sma Tahun 2014 Dan Pembahasannya Soal Un Matematika Sma Tahun 2014 Dan Pembahasannya

Smart Solution Un Matematika Sma 2013 Skl 2 1 Pangkat Akar Dan Smart Solution Un Matematika Sma 2013 Skl 2 1 Pangkat Akar Dan

Bentuk Akar Akar Sekawan Idschool Bentuk Akar Akar Sekawan Idschool

Un Matematika Sma Ma 2020 For Android Apk Download Un Matematika Sma Ma 2020 For Android Apk Download

Contoh Soal Un Matematika Sma Integral Fungsi Aljabar Contoh Soal Un Matematika Sma Integral Fungsi Aljabar

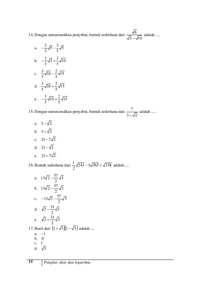
Soal Dan Pembahasan Matematika Bentuk Pangkat Dan Akar 6 10 Soal Dan Pembahasan Matematika Bentuk Pangkat Dan Akar 6 10

Lesson 6 Operasi Aljabar Pada Bentuk Akar Bentuk Pangkat Dan Lesson 6 Operasi Aljabar Pada Bentuk Akar Bentuk Pangkat Dan

Buku Pendamping Matematika Smp Kelas 9 Lks Incer Shopee Indonesia Buku Pendamping Matematika Smp Kelas 9 Lks Incer Shopee Indonesia

Pembahasan Soal Un Matematika Sma 2017 Integral Bentuk Akar Dan Pembahasan Soal Un Matematika Sma 2017 Integral Bentuk Akar Dan



::NEXT PAGE::

Tidak ada komentar:

Posting Komentar